產品列表
聯系我們
銷售熱線:0632-5113088
外貿電話:0632-5113066
公司傳真:0632-5113155
地址:山東省棗莊市市中區水處理劑產業園(十里泉東路1號)
E-mail:th@thwater.com
外貿電話:0632-5113066
公司傳真:0632-5113155
地址:山東省棗莊市市中區水處理劑產業園(十里泉東路1號)
E-mail:th@thwater.com
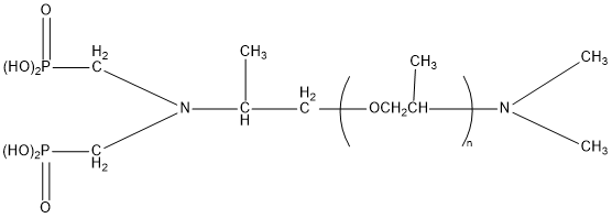
多氨基多醚基甲叉膦酸 PAPEMPPolyamino Polyether Methylene Phosphonae (PAPEMP) 相對分子質量:約600 結構式
一、產品性能:PAPEMP為新一代水處理劑,具有很高的螯合分散性能和很高的鈣容忍度及優異的阻垢性能,該藥劑可作為循環冷卻水系統的阻垢緩蝕劑,特別適用于高硬度、高堿度、高pH的循環冷卻水系統和油田水處理。對碳酸鈣、磷酸鈣、硫酸鈣的阻垢性能優異,同時可有效地抑制硅垢的形成,且具有良好的穩定金屬離子如鋅、錳、鐵的作用。 PAPEMP用于反滲透系統的膜阻垢劑,多級閃蒸系統等高含鹽量、高濁度、高溫系統的阻垢和緩蝕(如煤汽化系統高溫高濁水系統的阻垢),紡織印染助劑和造紙助劑(返黃抑制劑),可替代EDTA、DTPA、NTA等。 二、質量指標
三、使用方法PAPEMP正常使用投加量為5—100mg/L,PAPEMP與其他藥劑不同的是加量越多效果越好,PAPEMP可與聚羧酸等復配使用,加藥量高可實現高濃縮倍數運行。 四、包裝與貯存PAPEMP用塑料桶包裝,每桶30Kg。PAPEMP貯存于室內陰涼處,貯存期十二個月。 五、安全防護PAPEMP為酸性,操作時注意勞動保護,應避免與皮膚、眼睛等接觸,接觸后用大量清水沖洗。 |
|||||||||||||||||
|
|||||||||||||||||
| 關鍵字: 多氨基多醚基亞甲基膦酸,PAPEMP,阻垢緩蝕劑 | |||||||||||||||||
